Study of harmonic current emissions according to C.25-01

Harmonic study

Ensure your electrical installations comply with Hydro-Québec standards

When an industrial or commercial business adds new electrical loads—such as variable speed drives, electric vehicle chargers, or power electronic equipment—Hydro-Québec may require a harmonic current emission study to be conducted. This requirement, defined in standard C.25-01, is intended to ensure that installations connected to the distribution network do not cause harmful disturbances to Hydro-Québec and its other customers. Hydro-Québec’s standard C.25-01 defines the technical requirements relating to harmonic emissions from customer installations connected to the distribution network.

At 3E Eng., we specialize in conducting these studies. Our goal: to enable you to comply with Hydro-Québec’s technical criteria while ensuring the reliability and safety of your operations.

Why is a harmonic study necessary?

Harmonic currents are generated by loads known as “distorting” loads: variable speed drives, electronic starters, capacitor banks, power electronics systems, etc. These phenomena can lead to:

  • a deterioration in the quality of the electrical waveform;
  • overheating of transformers and cables;
  • premature aging of protections and motors;
  • risks of non-compliance with Hydro-Québec’s C.25-01 standard.

Without a proper study, your connection projects may be delayed or rejected by Hydro-Québec.

Our methodology

We follow a rigorous approach tailored to each site:

  • Data collection: inventory of disruptive loads, single-line diagrams, equipment characteristics, and network data provided by Hydro-Québec.
  • On-site measurements: installation of power quality analyzers (Hioki PQ3198 analyzer) to record currents and voltages over several days.
  • Modeling and simulations: use of specialized software (EasyPower, EMTP) to calculate harmonic emissions according to load scenarios.
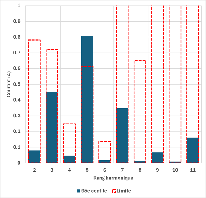
  • Comparison with C.25-01 standard: validation of results at the common connection point (CCP), in accordance with Hydro-Québec limits.
  • Full report: clear conclusions and corrective recommendations (e.g., harmonic filters, load optimization, motor sequencing).

Examples of harmonic studies

We have assisted several clients in the Quebec City, Chaudière-Appalaches, Montérégie, and Saguenay–Lac-Saint-Jean regions:

  • Industrial sawmill: simulation of harmonic emissions when adding new sawing lines, demonstrating that currents comply with imposed limits.
  • Galvanizing plant: analysis of several operating scenarios, confirming that emissions remained below Hydro-Québec thresholds.
  • Forest products plant: on-site measurement campaign with identification of 5th harmonic exceedances, followed by recommendations to correct the situation.
  • Electric vehicle charger: measurement of harmonic currents at a heavy electric vehicle charging station.

The advantages of choosing 3E Eng.

  • Recognized expertise in harmonic studies according to standard C.25-01.
  • Reports accepted by Hydro-Québec, clear and comprehensive.
  • Practical solutions to correct non-compliance issues and optimize your installations.
  • Turnkey support, from data collection to final validation.

Contact us

Do you need to submit a harmonic current emission study to Hydro-Québec? Trust 3E Eng. to perform an accurate, reliable analysis that complies with the requirements of standard C.25-01.
Contact us today for a personalized quote.

Harmonic studies conducted
These customers trust us